
6月28日-7月4日
广东高考生们进入志愿填报时间
站在人生的十字路口
如何才能pick到自己的心仪学校?
广东省教育考试院最新发布
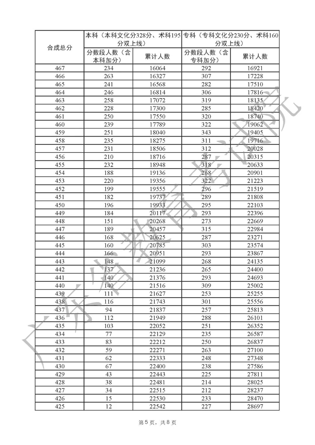
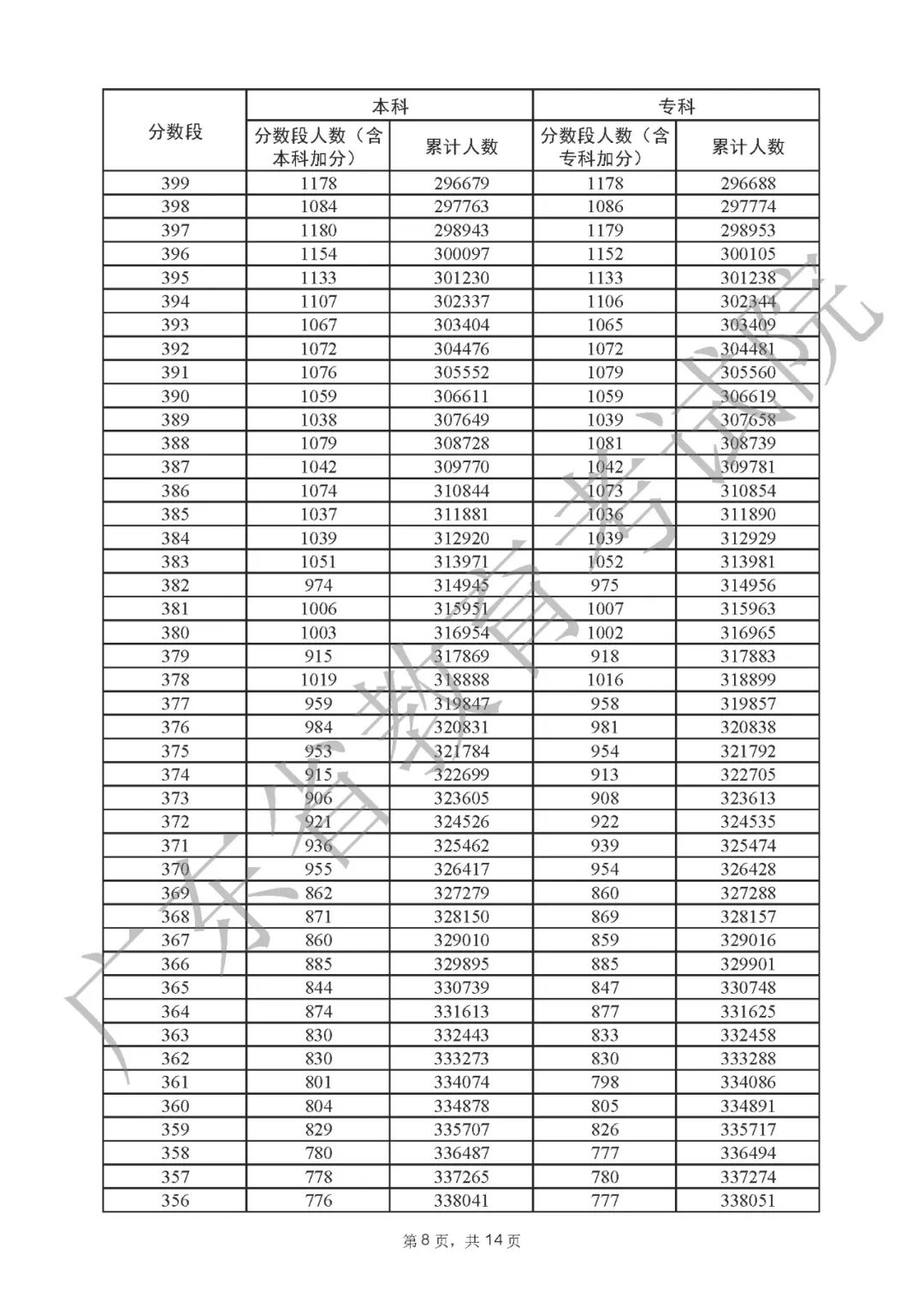
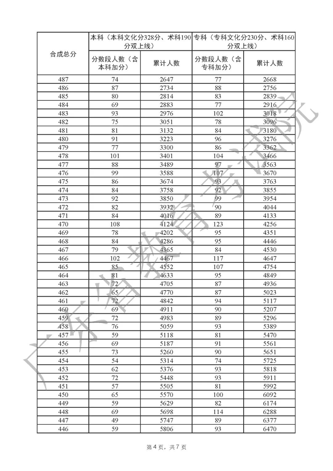
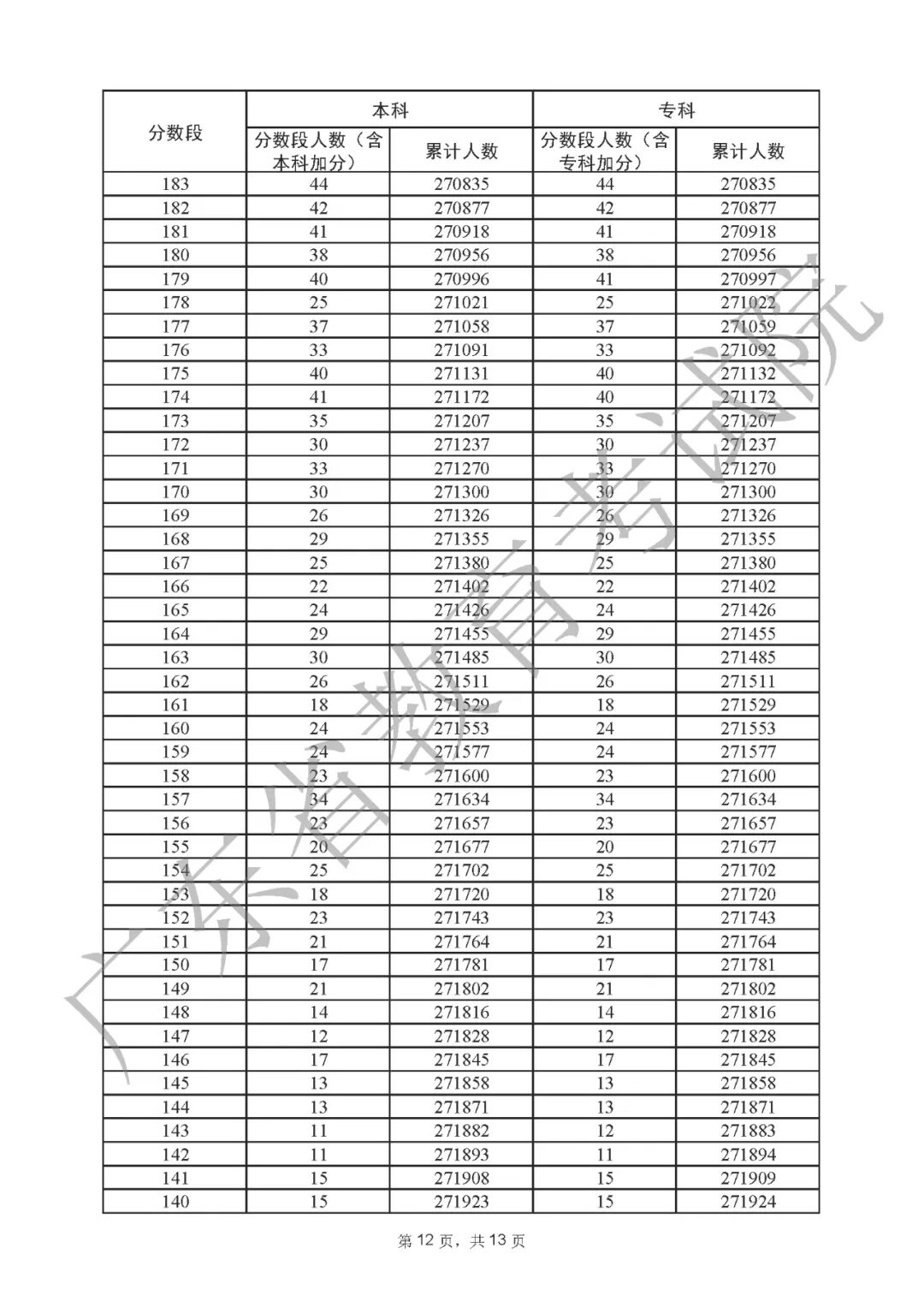
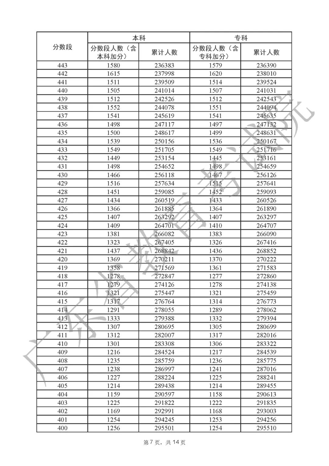
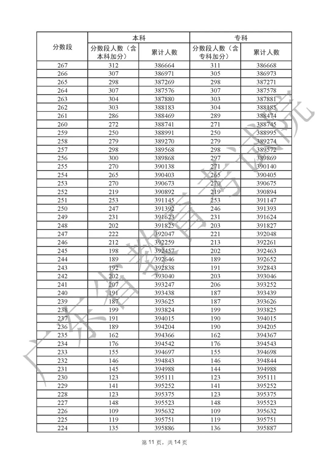
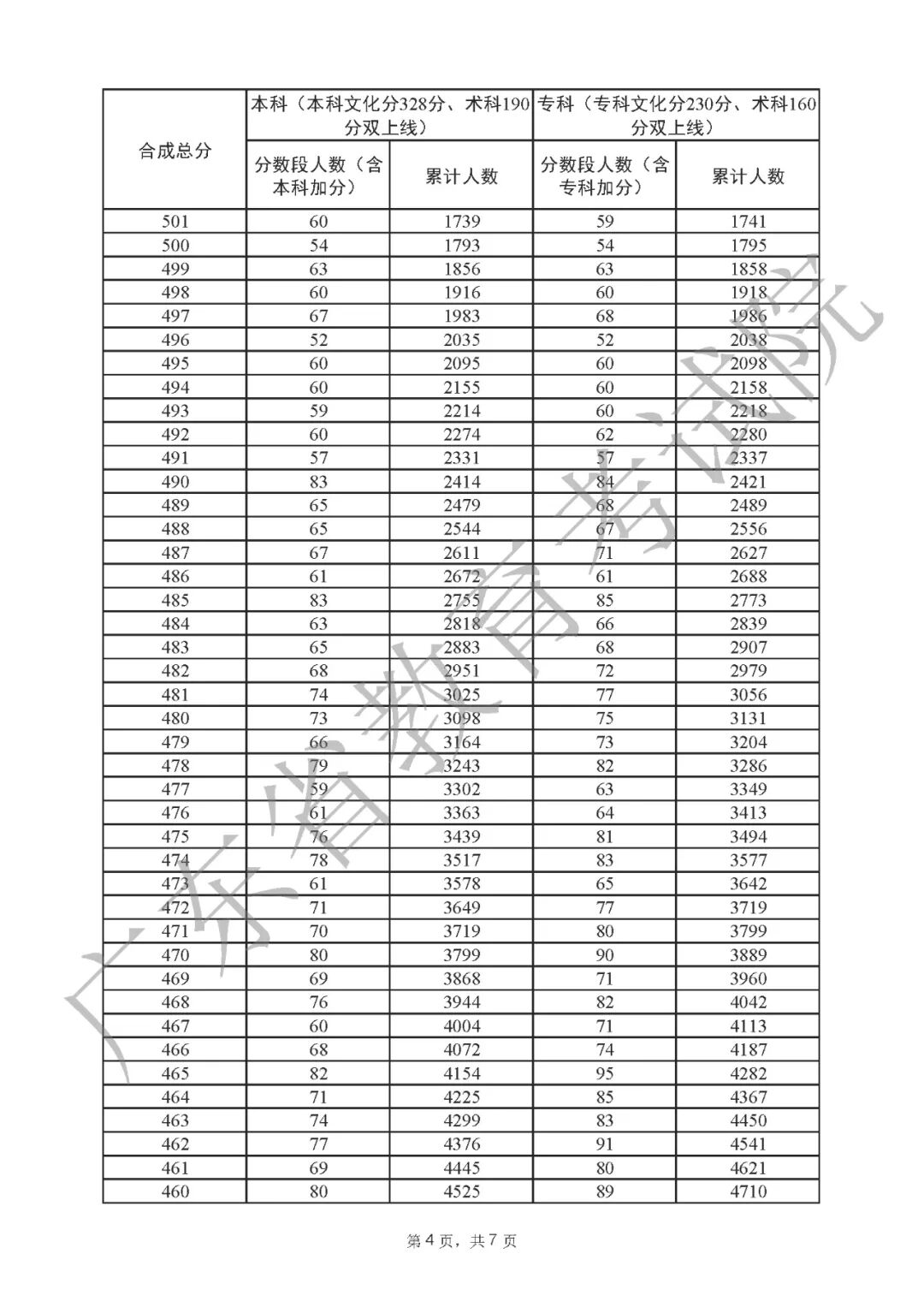
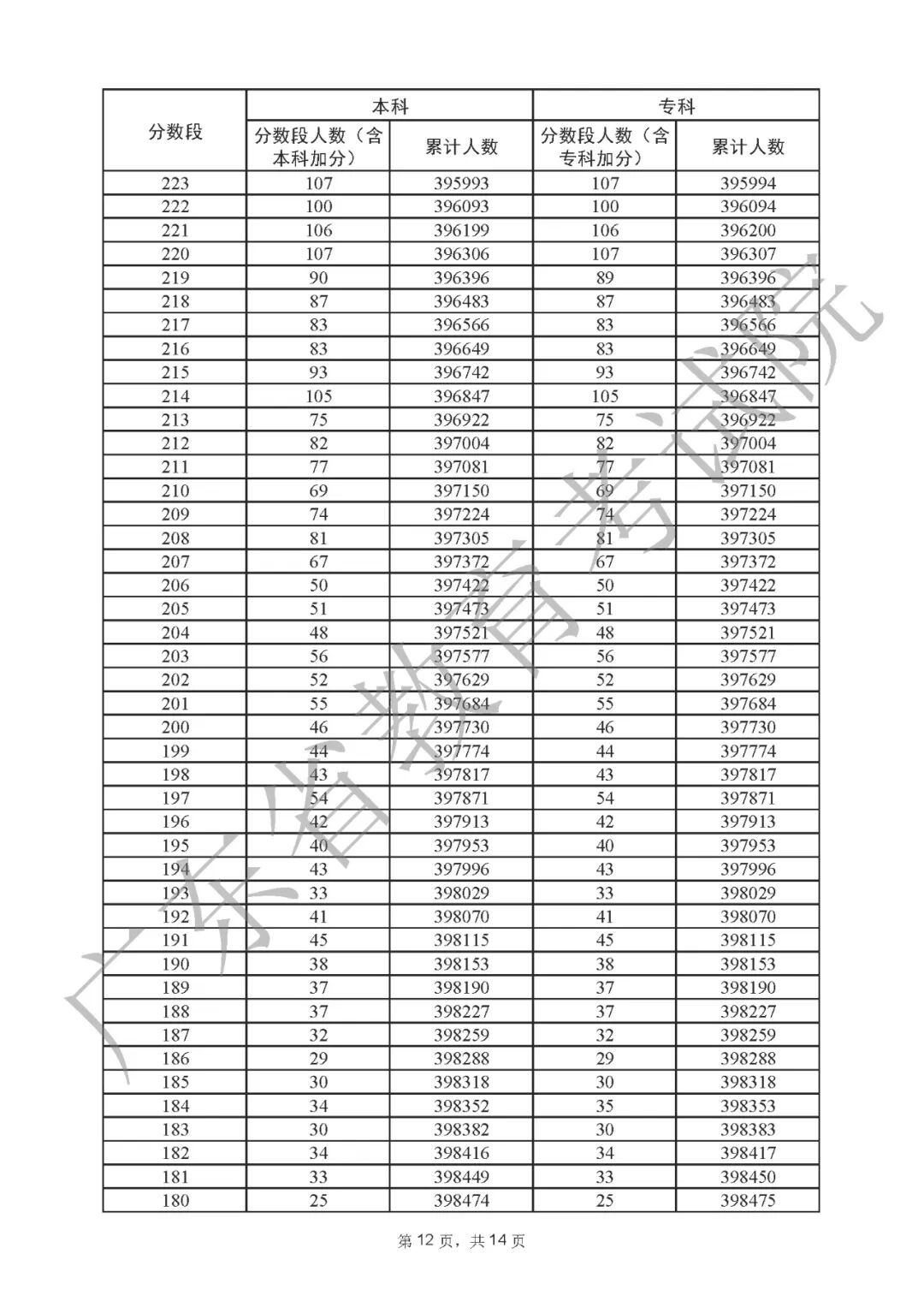
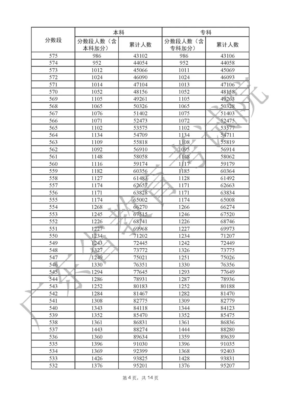
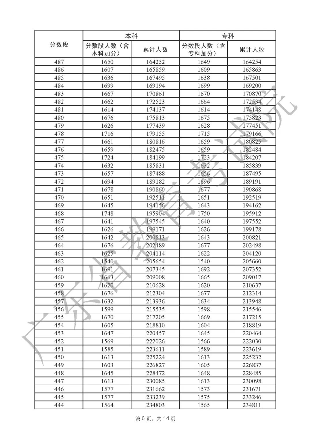
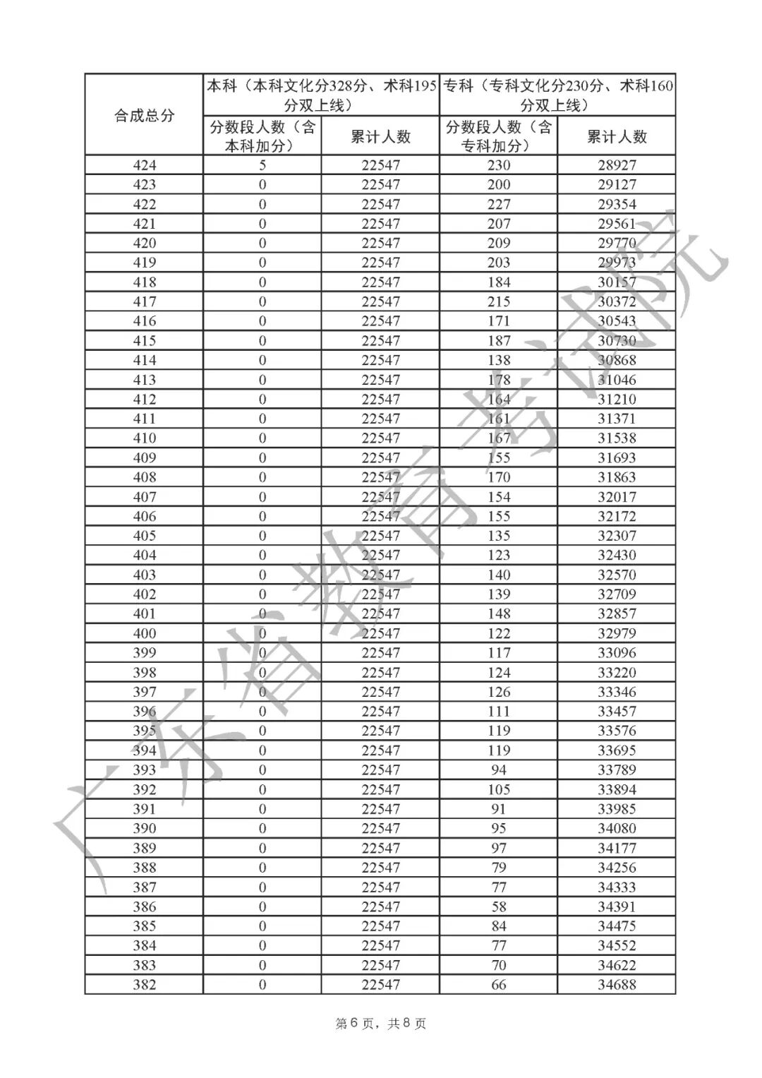
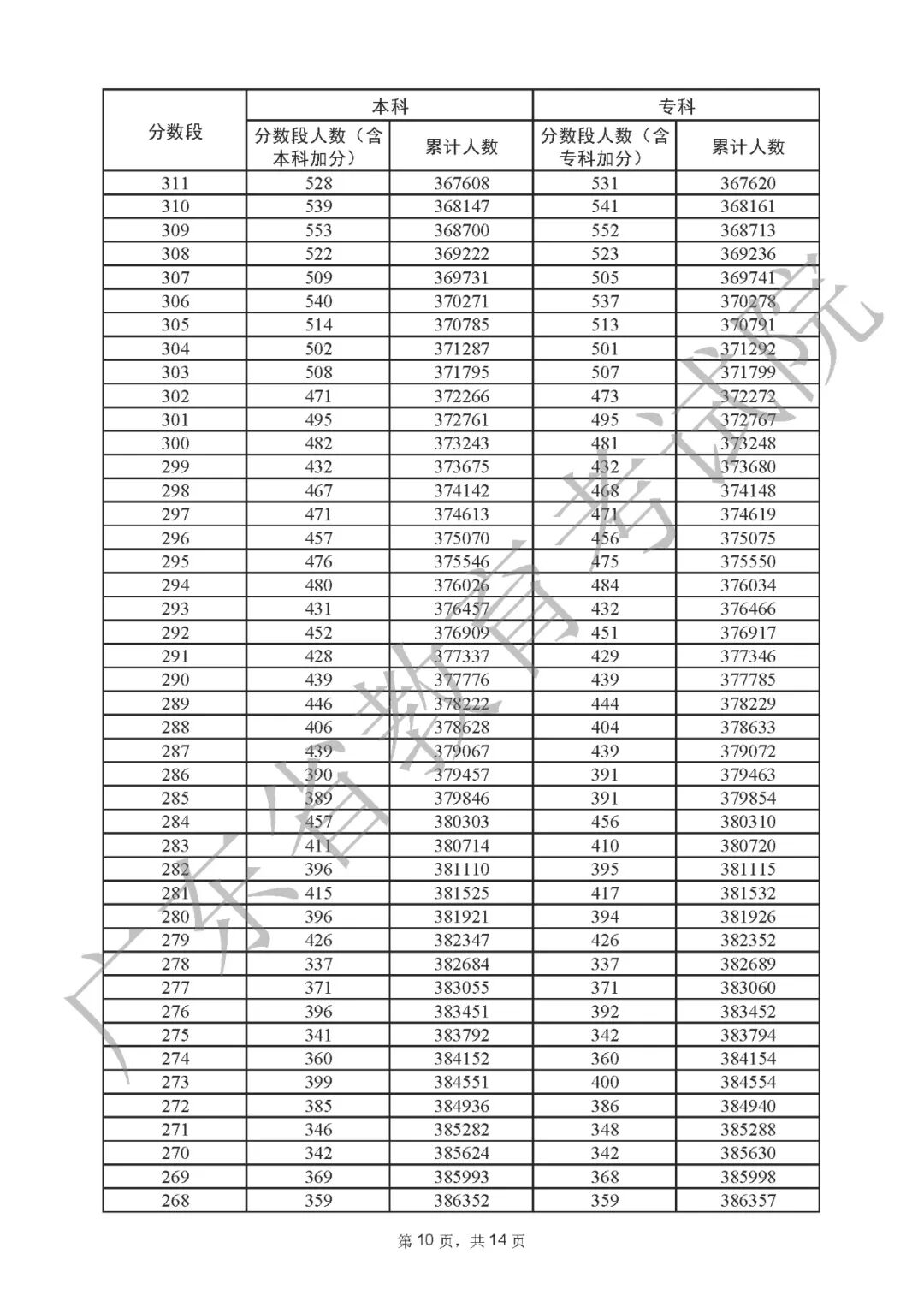
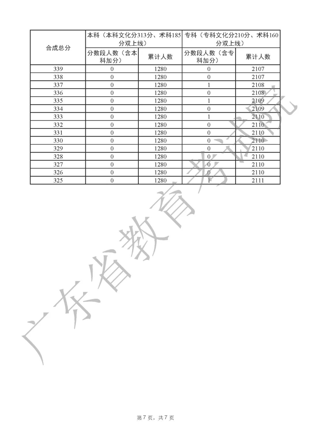
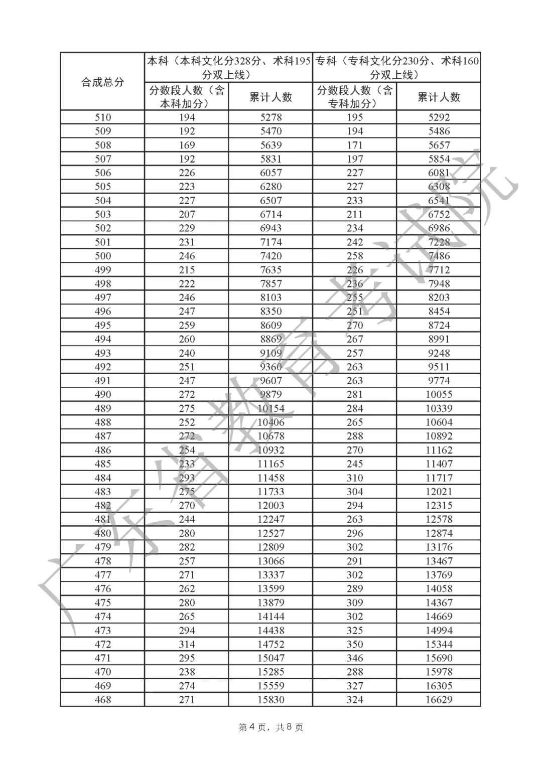
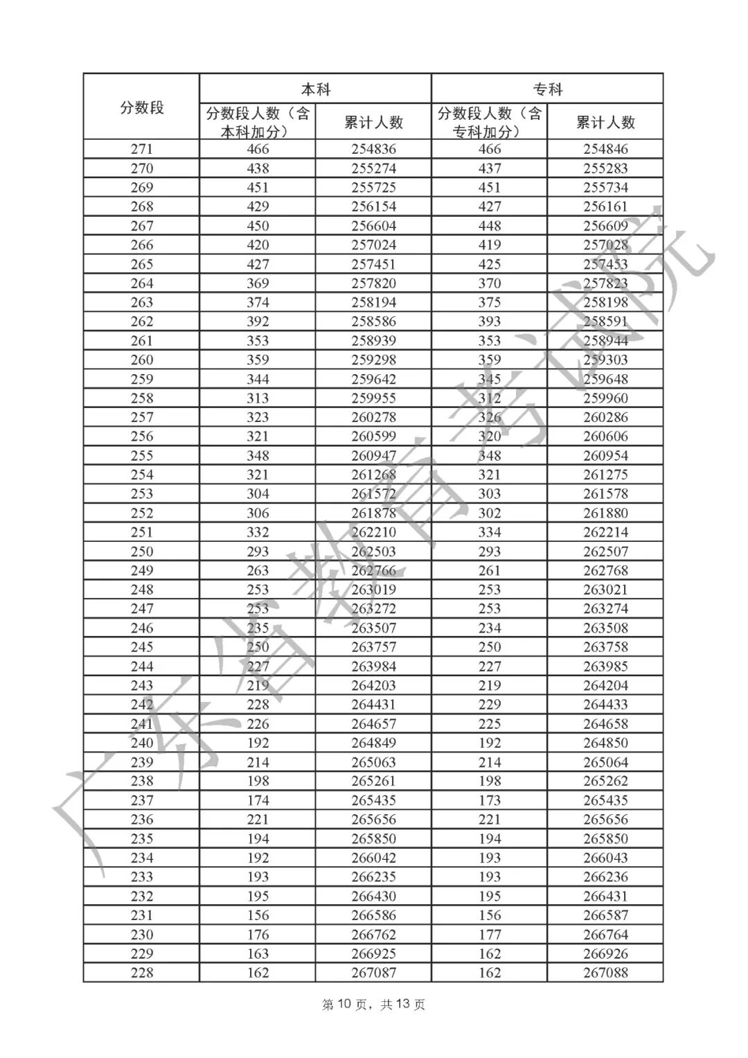
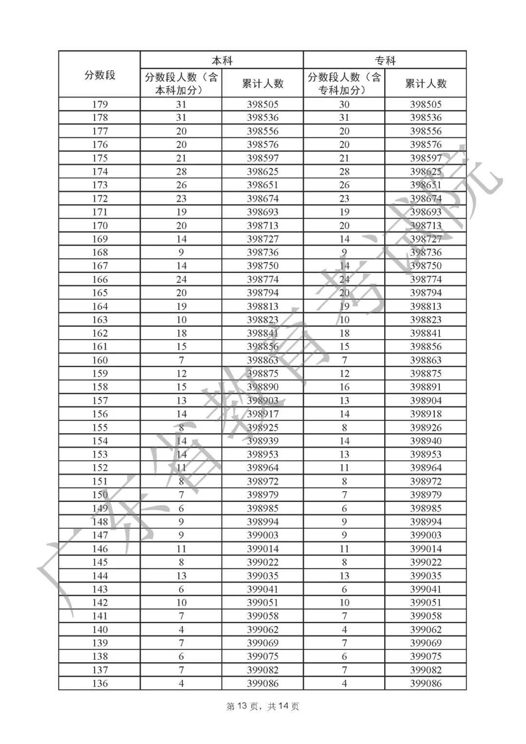
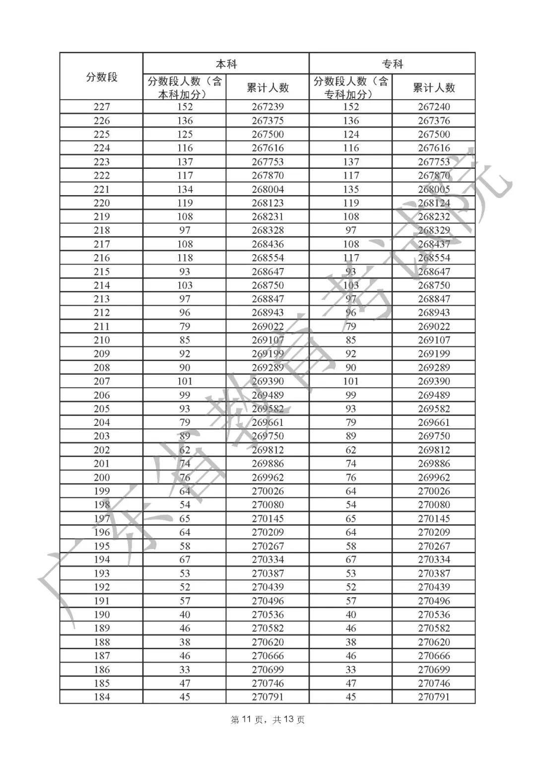
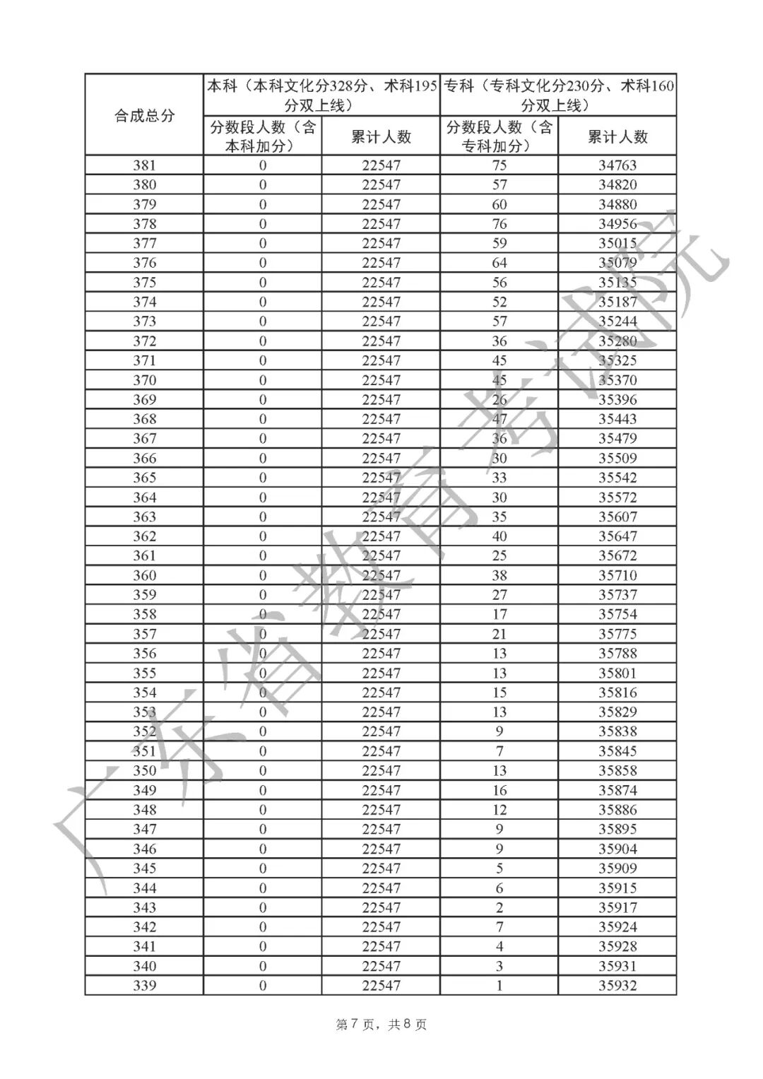
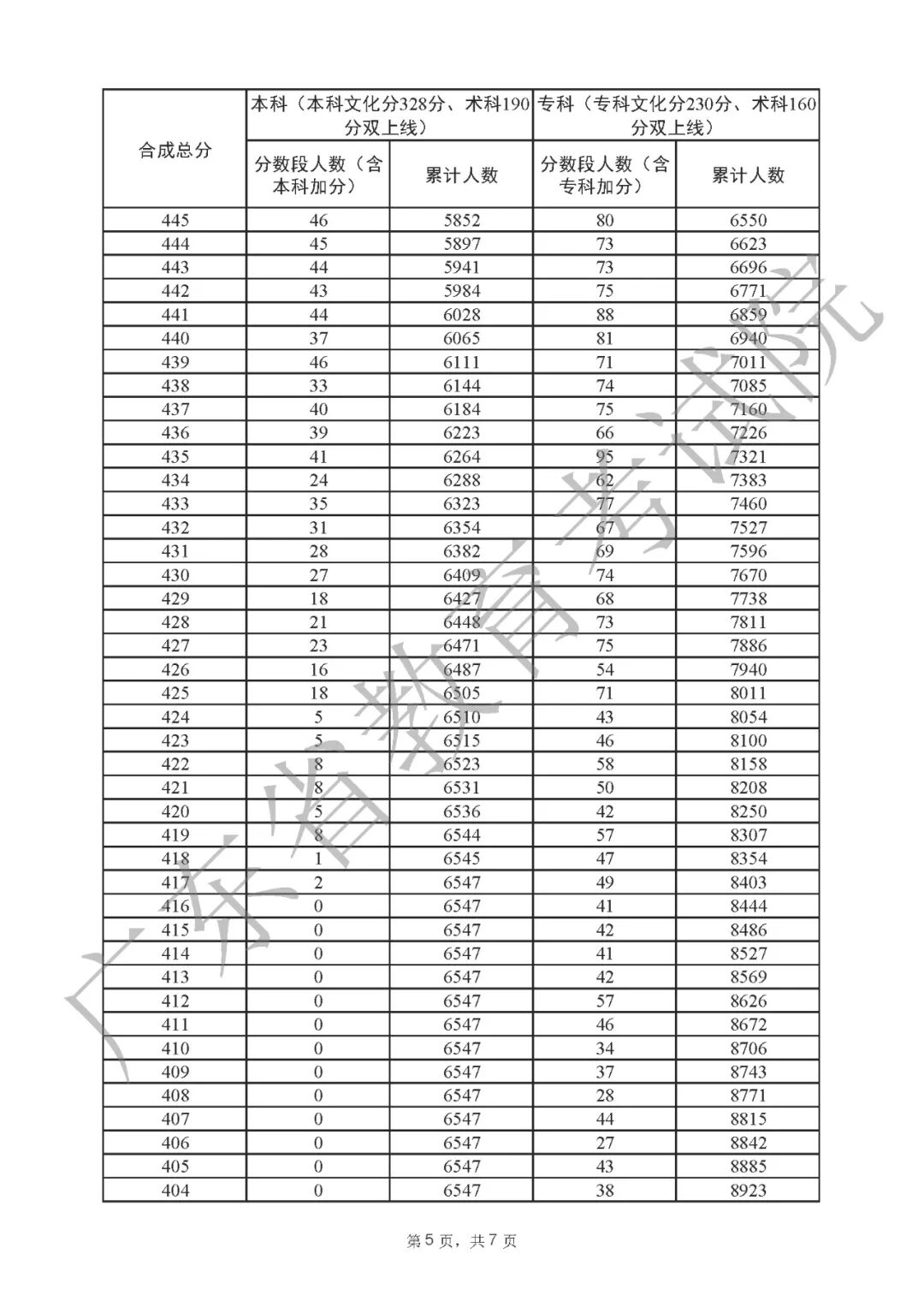
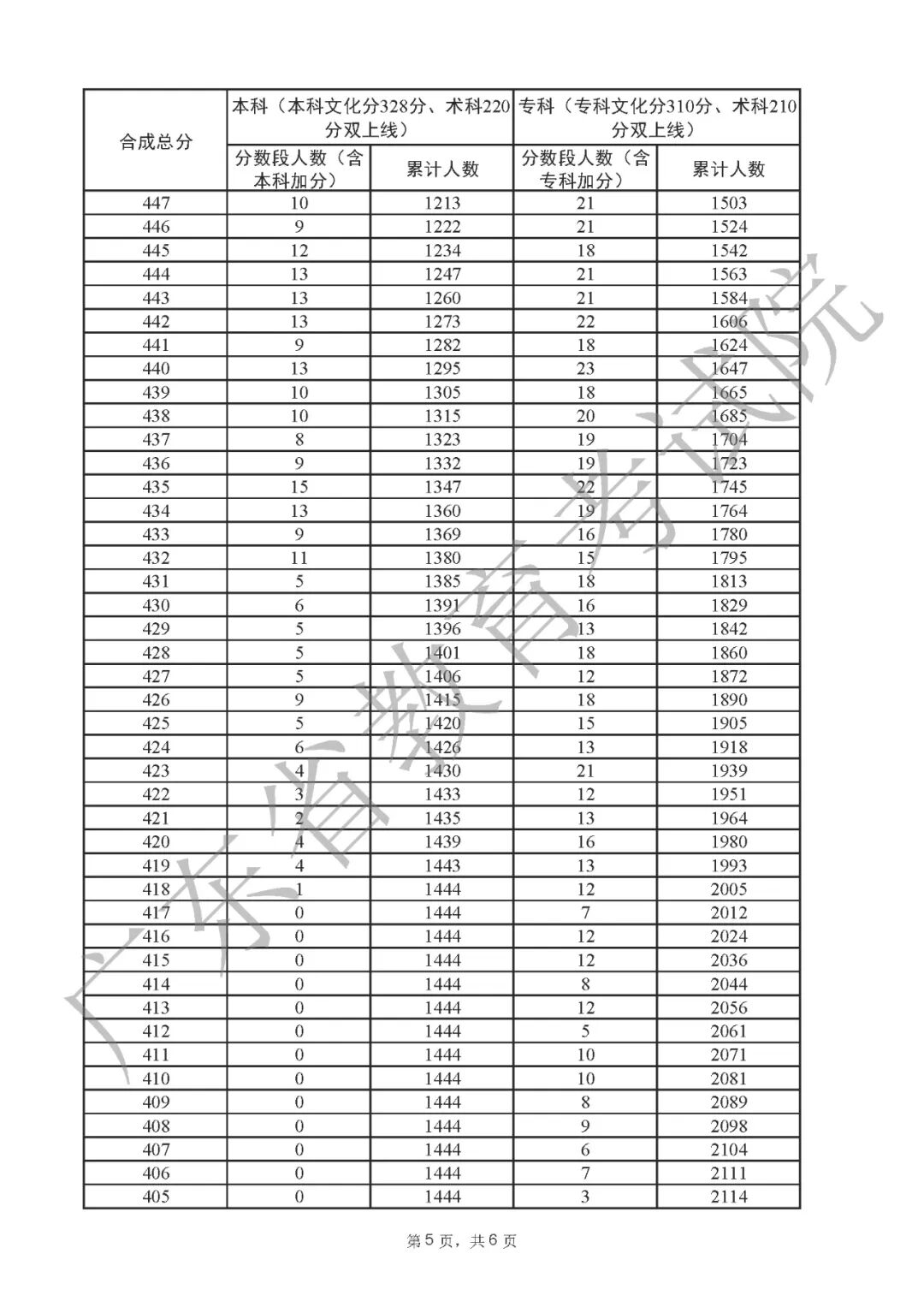
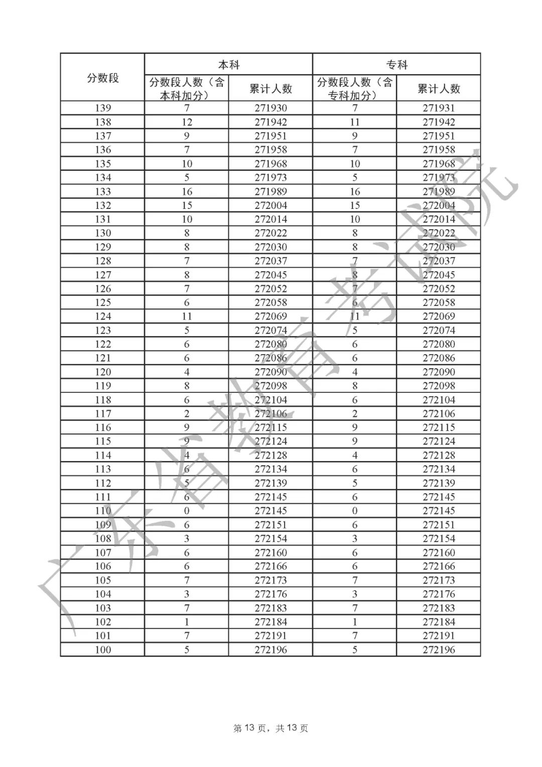
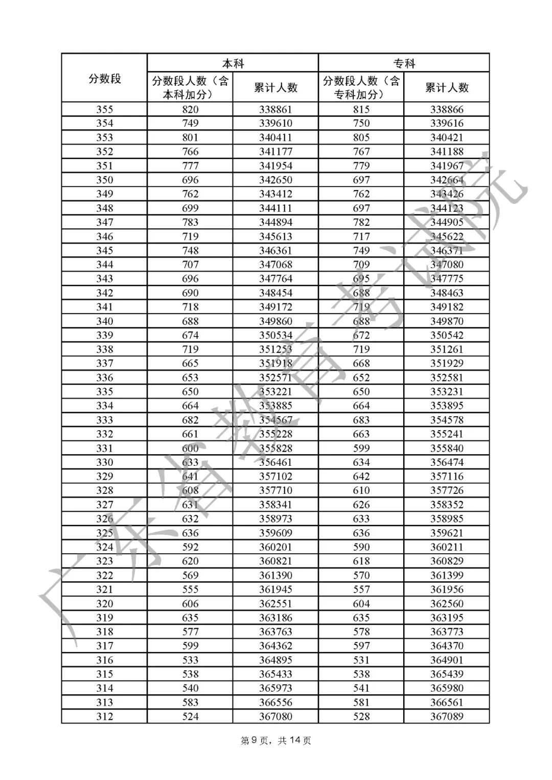
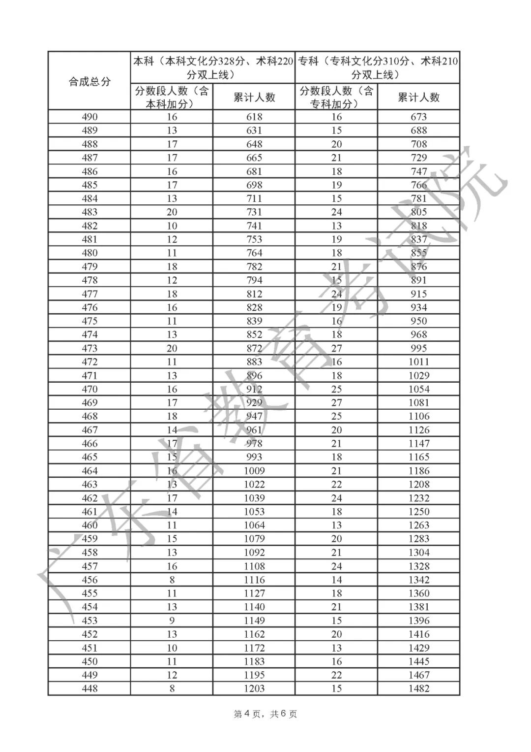
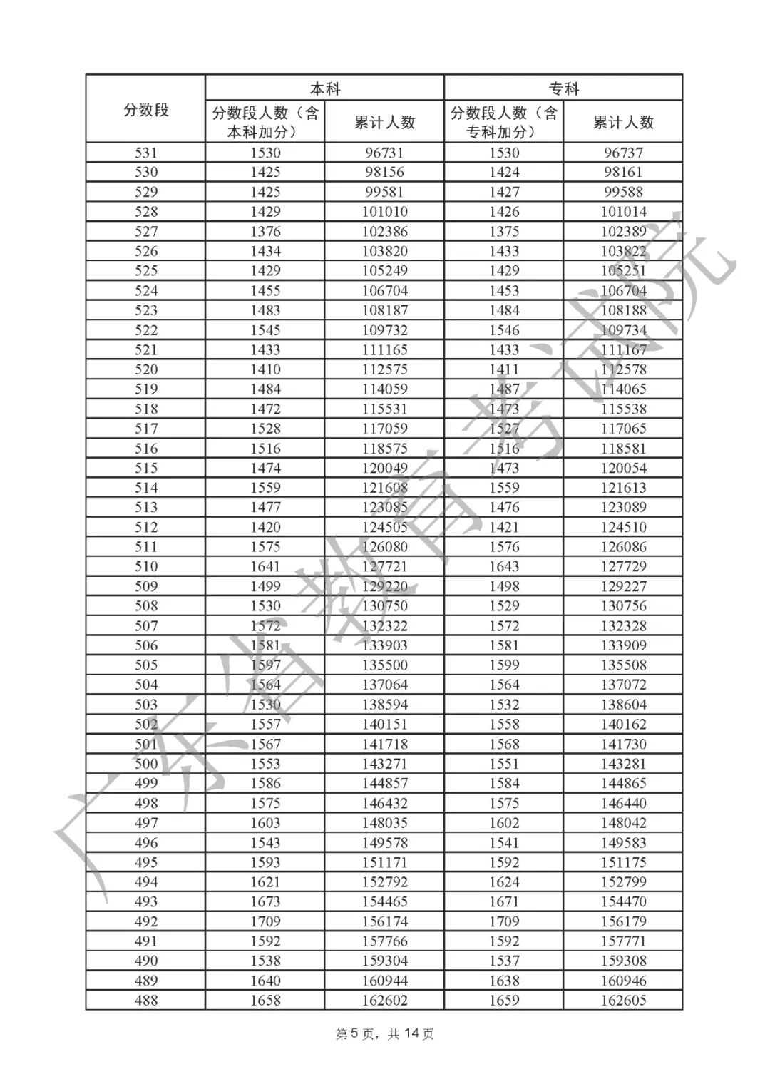
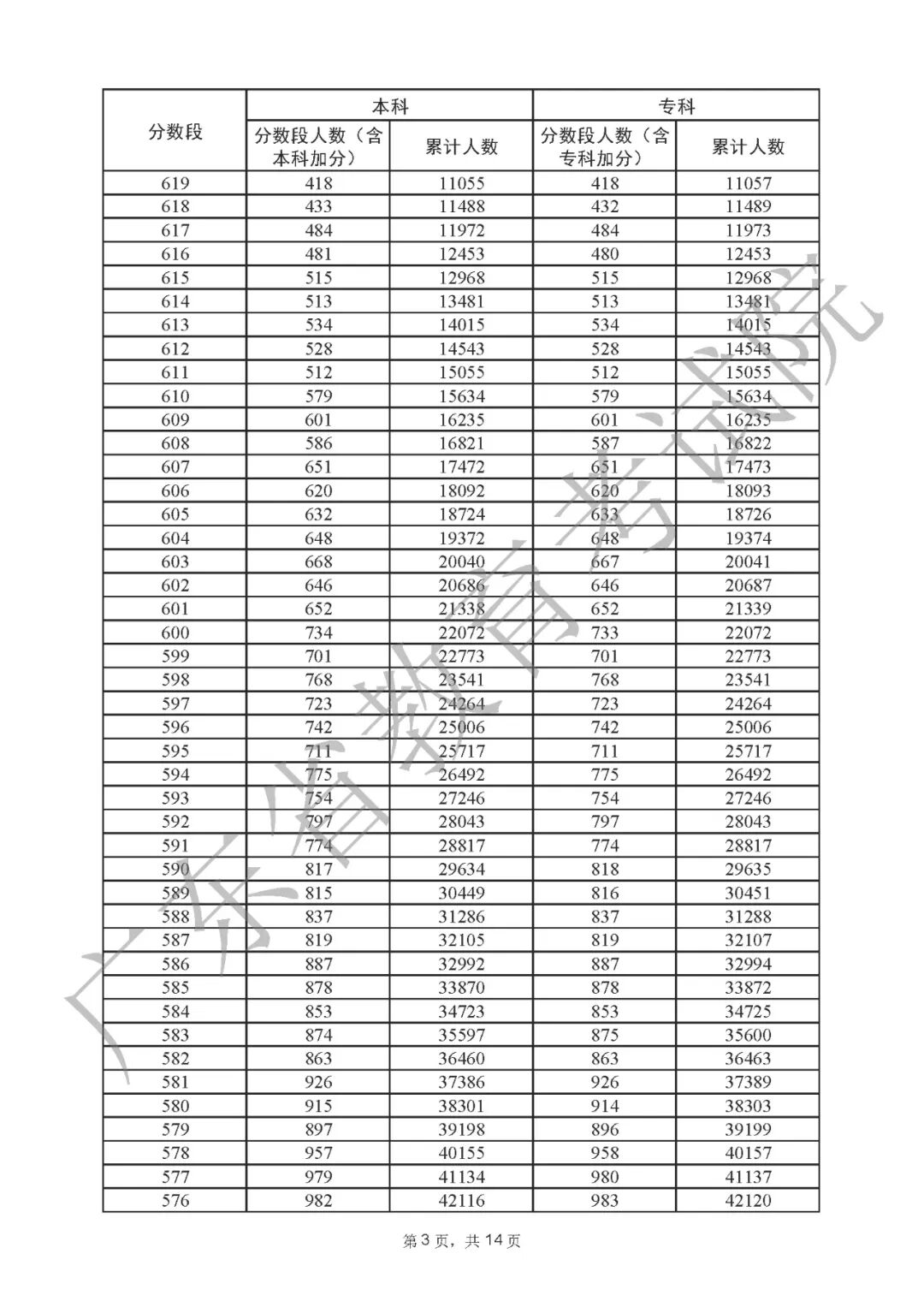
2022年广东高考“一分一段表”
各科类各分数段人数一目了然
快快收藏这份志愿填报“宝典”
知己知彼,找准位置
向“梦校”出发!

01
普通类(历史)
02
普通类(物理)
03
广播电视编导类
(上下滑动查看详情,点击图片查看大图)
04
书法类
05
体育类
06
舞蹈类
07
音乐学类
08
音乐表演-声乐类
09
音乐表演-器乐类
10
美术类
11
播音与主持普语类
(上下滑动查看详情,点击图片查看大图)
12
播音与主持粤语类
(上下滑动查看详情,点击图片查看大图)
来源:广东省教育考试院
编辑:罗悦媛
审核:刘文玲
如需转载请注明来源